等离子体破裂在目前托卡马克的运行实验中几乎不可避免。通常,托卡马克等离子体破裂有两个阶段:第一个阶段被称为热猝灭,包括快速(几毫秒)且几乎完全的等离子体热能损失。第二个阶段被称为电流淬灭,等离子体电流减小,放电终止。破裂是剧烈的MHD活动,此时,磁场拓扑发生剧烈变化,出现随机场区域,导致逃逸电子快速的径向输运。所以最终逃逸电子束大小由逃逸电子产生和损失决定,如果输运损失超过此时的雪崩产生的粒子,那么逃逸电子被抑制。所以,对于破裂阶段逃逸电子的输运计算是非常有必要的。
 |
| ITER破裂模拟热猝灭开始阶段的庞加莱图ϕ=0。红线10MeV粒子轨道跟踪模拟结果,可以看到一个回弹周期粒子有明显的径向输运 |
近年来,在王正汹教授的带领下,团队自主研发的大型粒子轨道追踪耦合蒙特卡洛模拟程序PTC(Particle Tracer Code)已逐渐成熟。PTC的粒子推动部分采用导心轨道与全轨道方程,通过相空间坐标的相互转化,实现两种轨道的混合计算,并且程序包含了芯部主等离子体区与边界等离子体区,可以载入实验和解析模拟得到的多种扰动电磁场,从而实现多场耦合。PTC可以结合实际实验装置,快速、准确、完整地描述高能量粒子的输运与损失,计算效率高,数值稳定性强。
PTC程序逃逸电子模块已经实现了高阶导心轨道模型的开发,能够准确模拟逃逸电子无碰撞散射的过程。在逃逸电子能量极高的情况下,由于无碰撞散射现象,一阶导心模型不再适用,如图2所示。但高阶导心模型对其进行了修正。在耦合同步辐射项后,可以准确地描述逃逸电子持续加速,直到电场加速与辐射耗散平衡,最终电子能量饱和的过程。相关研究成果已经被JPP收录。
 |
| 高阶导心测试结果。(a) 粒子轨迹对比,(b) 粒子相空间演化对比 |
历经团队多名成员王丰、刘仕洁、于召客等接近3年的紧张开发,逃逸电子模块实现了高阶导心轨道模型的应用,耦合了库仑碰撞、同步辐射等,可以准确模拟逃逸电子整个生命周期,在载入破裂扰动电磁场后,可以对逃逸电子破裂期间的输运进行计算。这意味着我们自主开发的PTC程序在分析和研究我国未来聚变堆的逃逸电子等方面,走在国内前列。在对逃逸电子雪崩的开发成熟后,可以准确模拟破裂期间逃逸电子的产生、输运、热沉积等物理过程。
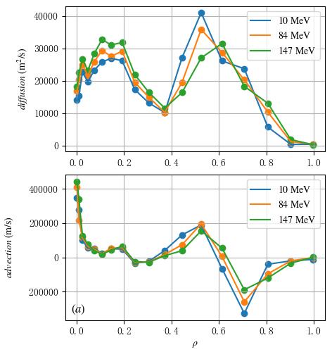
下图为PTC计算破裂热猝灭开始期间逃逸电子径向输运的结果。通过对破裂三个典型时刻的瞬时输运系数的计算,以及提高粒子能量与光速无质量粒子输运结果进行对比,得到了一些破裂期间逃逸电子输运的空间与能量依赖的结果:磁岛可以视为输运壁垒;热猝灭期间输运最强;逃逸电子能量升高,有限轨道宽度显著,对输运有显著影响。
 |
 |
追踪磁力线(无质量光速粒子)输运系数剖面,分别为扩散系数、磁场扰动长度、对流系数
|
追踪高能粒子输运系数剖面与追踪光速无质量粒子结果对比。表明粒子能量升高,有限轨道宽度效应显著,影响粒子输运
|