近日,由大连理工大学逐日团队培养的王辉辉博士担任第一完成人的“率先阐明多物理量条件下误差场锁模定标的物理规律”成果,作为国家大科学装置“人造太阳”EAST全超导托卡马克核聚变实验装置的重要成果,入选了2021年中科院重大科技基础设施“面向世界科技前沿类”重大成果。
2021年中国科学院重大科技基础设施成果汇编
科学研究往往需要“十年磨一剑”的韧性与坚持。成果第一完成人王辉辉博士自2010年起在大连理工大学物理学院导师王晓钢教授和王正汹教授共同指导下开展托卡马克误差场锁模理论和模拟研究工作。研究工作开始阶段,国内研究基本处于空白,误差场锁模的物理图像和理论框架也只能通过海量寻找并研读国外文献资料慢慢清晰起来。在现有的大型核聚变装置实验中或未来聚变堆运行中,十万分之一量级的磁场误差都可能会引起等离子体锁模破裂,进而导致核聚变实验失败!因此开展误差场锁模定标研究是国际上大型核聚变装置物理研究的核心关键难题之一。
王辉辉博士学位期间的亮点工作:(i)发现了美国著名学者在误差场锁模定标理论研究方面高被引论文中的非线性物理机制存在错误,(ii)重新通过新的物理模型推导给出了新的物理机制理论,并通过大规模计算机模拟验证了该理论结果的正确性。
在此之前,美国学者给出理论显示误差场锁模阈值与等离子体密度无关。然而国际各大核聚变装置的实验结果都得出两者强相关,这一理论与实验的矛盾在国际上二十多年来一直没有被解决。王辉辉博士分析了制约理论和实验统一的原因,并通过理论和模拟研究解释了J-TEXT聚变装置上得到的误差场锁模密度定标结果。2014年1月博士毕业后,王辉辉进入中国科学院合肥等离子体物理研究所工作,在孙有文研究员课题组继续开展误差场锁模实验与理论结合方面的研究。入所之初,他对实验茫然无知,对实验信号一头雾水、一窍不通,通过慢慢学习、不断磨练,对实验和诊断不断熟悉,参与并协调负责EAST误差场锁模关键物理实验。经过近七年的实验研究,王辉辉逐渐在误差场锁模实验和理论结合研究方面积累了经验和心得,在国际上率先使用新的理论定标和计算机模拟自洽的解释了托卡马克误差场锁模实验的一系列定标结果,包括密度定标、纵场定标以及边界安全因子定标。研究方法得到了国际同行的借鉴使用,同时研究成果得到了国际重要核聚变装置(如韩国KSTAR和美国DIII-D装置)实验结果的验证。

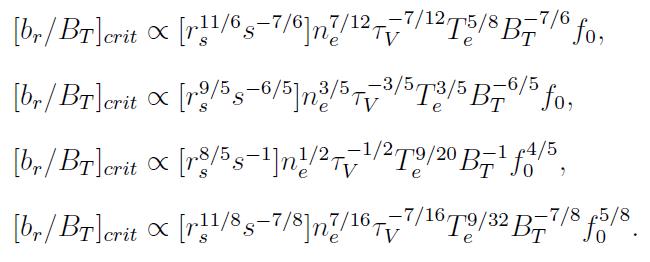
可直接用于实验分析的误差场锁模定标一般化理论公式(从上到下分别为线性区的粘性-电阻机制、非线性区的Rutherford机制、
过渡机制及Waelbroeck机制,其中非线性过渡机制为王辉辉、王正汹等人提出)

理论自洽解释EAST误差场锁模密度定标

EAST误差场锁模阈值的纵场定标与其他装置对比
另外,该成果主要完成人叶程同学自2017年起在导师王正汹教授指导下继续开发大型国产核聚变软件MDC,并且研发了MDC双流体模型的升级版本。我校王正汹团队与中科院等离子体所EAST误差场锁模实验研究团队深入开展合作,通过大规模数值模拟预测并解释了EAST误差场锁模实验观测,相关合作成果多次发表在核聚变领域顶级期刊《Nuclear Fusion》上。为此,理论、实验和模拟三者有机结合形成合力,推动国内磁约束核聚变领域理论与实验的深度融合,助力中国核聚变研究在面向世界科技前沿的道路上继续攀登高峰。

EAST上误差场锁模密度定标实验、理论、模拟自洽(欧姆加热和低杂波辅助加热两种情况)

叶程(左)和王辉辉(右)在EAST聚变装置前合影