在托卡马克放电实验中,电流剖面激发的新经典撕裂模会严重破坏平衡磁场,导致等离子体约束破裂。团队利用自主开发的大型磁流体力学程序MDC系统地研究了新经典撕裂模的物理特性。首先,发现了先进磁场位形下,新经典撕裂模会诱发一种严重危害稳态运行的新型破裂现象,并找到了诱发破裂的参数区间,该工作发表于聚变领域权威期刊《Nuclear Fusion》,成为封面文章和年度亮点工作。随后,针对这种新型破裂,提出了一种实验上抑制破裂的有效方案,该工作再次成为《Nuclear Fusion》的封面文章。最后,通过优化参数,为实验上抑制新经典撕裂模提供理论指导,相关模拟结果已经应用到我国EAST装置实验中。


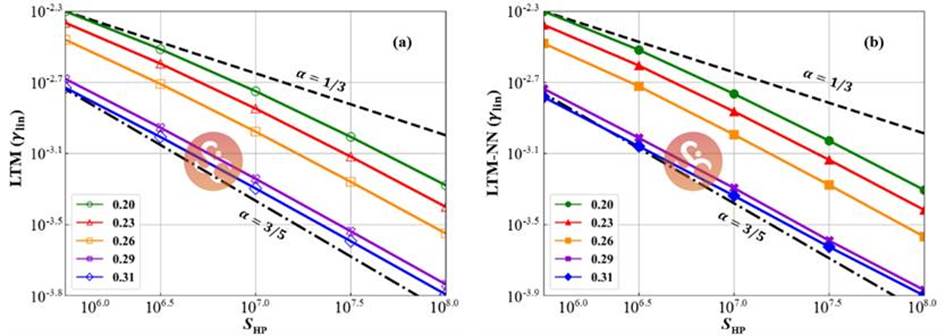
团队目前采用大环径比的托卡马克线性撕裂模程序LTM构建磁流体平衡及增长率的有监督学习数据集,基于BP神经网络训练了宏观不稳定性人工智能神经网络模型LTM-NN。LTM-NN能够预测撕裂模增长率与物理参数之间的依赖关系,相对误差小于3%,且对撕裂模是否稳定的分类准确率达100%。因此,基于LTM开发的LTM-NN模型以其计算速度快和效率高的显著优势,有望弥补基于第一性原理的数值模拟的短板,对磁约束装置中等离子体的状态,尤其是爆发快的撕裂模不稳定性做实时预警。下图对比LTM数值模拟与LTM-NN预测计算定标率,结果表示二者规律一致

近年来,在王正汹教授和王丰教授的带领下,团队自主研发的PTC已逐渐成熟。PTC的粒子推动部分采用导心轨道与全轨道方程混合计算,包含了芯部主等离子体区与边界等离子体区,可以载入实验和解析模拟得到的多种扰动电磁场,从而实现多场耦合。此外,PTC可以结合具体实验装置,快速、准确、完整地描述高能量粒子的输运与损失,计算效率高,数值稳定性强。升级后的PTC包含中性束注入模块和逃逸电子模块。中性束注入模块实现了中性束注入在近真实托卡马克位形下的计算,可以得到任意位置的中性束与快离子的密度;逃逸电子模块基于高阶导心轨道模型,与MHD程序JOREK进行耦合后,可以分析破裂扰动电磁场对逃逸电子输运的影响。目前,电流驱动模块和逃逸电子雪崩模块正在积极开发中,即将完成程序校验。


等离子体工艺腔室制造过程极为复杂,不仅涉及到精密的机械加工技术,还要统筹考虑电源、气体、材料等外部参数的优化,以及与晶圆处理工艺的兼容性。建模仿真与实验诊断相结合的方式,为等离子体工艺腔室的研发与优化提供方案,成为一种必然趋势。
团队在国内率先研发出具有自主知识产权的等离子体工艺腔室仿真软件MAPS(Multi-Physics Analysis of Plasma Sources)。通过采用物理建模、数值仿真与实验诊断相结合的方法,解决了制约等离子体工艺腔室设计和制造中的一些关键技术难题,为我国研发具有自主知识产权的等离子体工艺腔室提供了技术支撑。MAPS是一款专门面向等离子体工艺腔室的数值模拟软件平台,可以同时为等离子体工艺腔室的参数设计和表面处理工艺(材料刻蚀和薄膜沉积)的结果预测提供模拟服务。基于不同的等离子体模型,MAPS包含不同的数值模拟方法,如粒子/蒙特卡洛碰撞模拟方法、流体力学模拟方法、流体力学/蒙特卡洛碰撞混合模拟方法、整体模型模拟方法等。软件平台包含输入部分、输出部分以及七大模块,分别是等离子体模块、中性气体模块、电磁模块、鞘层模块、化学反应模块、表面模块、以及实验验证模块。

成果举例一:三维ICP源快速模拟
针对ICP源,团队建立了一种新的双极扩散近似模型,可以对带有射频偏压的感性耦合放电过程进行仿真。该方法不仅模拟速度快,还适用于低气压放电。


成果举例二:CCP中非线性驻波效应
赵凯副教授利用自研磁探针首次实验观察到CCP中非线性驻波效应,实验与模拟结果取得良好的一致性,相关成果发表在国际物理学顶级期刊PRL上。

成果举例三:CCP中“辉光条纹” 现象
刘永新教授采用相分辨发射光谱法首次观测到CCP中正负离子的分层现象,与粒子模拟结果吻合较好,相关成果发表在在国际物理学顶级期刊PRL上。

近5年团队在Physical Review Letters、Applied Physics Letters、Plasma Source Science and Technology 等期刊上发表论文100多篇;获得国内发明专利20余项、国际发明专利授权2项(美国),软件著作权15项;获得教育部自然科学二等奖(2021)、大连市科学技术进步一等奖(2021)。

在托卡马克装置中,通常设计一种几何偏滤器(Divertor)排除核聚变反应产生的杂质和热量。钨由于具有本身的优势特性,已经成为许多偏滤器材料的主要候选之一。托卡马克运行时,偏滤器作为面向等离子体的主要部件之一,将面对复杂的核聚变边界等离子体环境。在等离子体和偏滤器之间存在一个电磁鞘层区,通过该区域发生较强的连续不断的粒子交换、粒子再循环、溅射、再沉积和燃料滞留等相互作用。研究等离子体与器壁相互作用必须知道偏滤器区域的等离子体特性、等离子体与偏滤器材料表面的相互作用。目前,团队通过自主开发程序程序,在偏滤器区域等离子体物理、等离子体与壁材料相互作用方面获得主要研究进展。
一、自主开发程序模拟研究
1. 开发了粒子模拟程序(EPPIC1D&2D),模拟了小尺度的等离子体鞘层特性,包括偏滤器脱靶、缝隙等离子体行为等。同时开发了三维的蒙特卡洛程序(ITCD)模拟研究等离子体与器壁相互作用过程中产生的杂质在偏滤器的电离、输运和再沉积过程。

图.不同磁场角度下不成形环形缝隙的电势分布和偏滤器粑板等离子体电势的演化
2. 基于速率理论开发了燃料滞留程序HIIPC和气泡演化程序HIIPC-MC,研究等离子体长期辐照壁材料引起的燃料滞留和气泡生长演化,同时开发辐照诱导的钨中缺陷动理学演化模型(VITDE),研究高能离子与氢同位素协同辐照的燃料滞留行为。控制等离子体与壁材料相互作用引起的氚滞留量是聚变堆安全运行的必要条件。在复杂的等离子体环境下,理解材料的微观结构和注入的氚作用对氚滞留的预测和控制至关重要。

图. 等离子体辐照钨材料中氢气泡的时间演化和燃料滞留随温度的演化

图. 氘等离子体辐照钨材料中氘滞留密度的时间-空间分布
3. 基于分子动力学和动理学蒙特卡洛方法,利用LAMMPS等程序,研究强流高能等离子体辐照下,钨材料中气泡演化以及绒毛生长的行为。

图. 通过LAMMPS的He辐照钨钨表面原子团簇演化的分子动理学模拟
4. 采用了经验公式耦合在等离子体程序中实时计算等离子体变化过程中器壁材料的侵蚀(物理和化学侵蚀);自主开发了分子动力学程序研究粒子入射到碳钨中的入射深度、反射等行为;开发了动力学蒙特程序从较大尺度研究材料的侵蚀行为;开发了热传导模型研究入射到偏滤器靶板的热流对偏滤器的热腐蚀效应;开发了SURO程序研究等离子体与粗糙器壁相互作用。

图. 局部杂质侵蚀和沉积引起的粗糙表面的演化行为
5. 此外,刮削层区域粒子再循环程序和惰性杂质(氖氩)注入对燃料滞留影响的动理学模拟程序正在开发中。
托卡马克被认为是最有可能实现磁约束可控核聚变的装置,刮削层等离子体是指存在于最外封闭磁面之外的等离子体,它是芯部高温等离子体和材料之间的缓冲区域,芯部产生的热量和粒子最终经过边界层,流入偏滤器靶板。由于刮削层等离子体与芯部等离子体具有显著不同的特性,且刮削层等离子体的性质在很大程度上决定芯部等离子体的约束以及能否长脉冲稳态的运行,因此对边界等离子的输运以及边界等离子体与第一壁和偏滤器靶板相互作用是聚变研究工作的重点方向之一。

图. 托卡马克刮削层和偏滤器区域
长期以来,本课题组针对托卡马克刮削层等离子体进行了系统的模拟研究,使用的大型边界程序包括SOLPS-ITER,EMC3,BOUT++等。SOLPS-ITER(Scrape-off Layer Plasma Simulation)边界等离子体模拟程序通过处理带电粒子的流体程序B2.5以及中性粒子输运程序EIRENE耦合来求解边界等离子体状态。SOLPS-ITER程序可以用于研究台基区物理、边缘局域模、等离子体与器壁材料相互作用、杂质输运、偏滤器位形设计等一系列问题,己被广泛用于各大装置的模拟工作中。BOUT++(Boundary Plasma Turbulence)程序是用于研究托卡马克边界等离子体湍流的三维大规模并行计算C++程序。目前BOUT++程序库己经升级成为一个基于有限差分和沿磁力线坐标系的数学方程求解工具,使用者可以根据自己的物理模型在BOUT++框架下求解任意数量的流体方程组。三维等离子体输运程序EMC3能自洽耦合中性粒子输运程序EIRENE,实现等离子体与中性粒子输运信息的传递和交换。EMC3对网格进行了优化,广泛应用于处理等离子体与复杂的偏滤器位形的研究。课题组还自主开发了系列刮削层等离子体、中性粒子输运程序。


图. 自主开发动理学钨杂质在边界的输运程序模拟钨杂质输运轨迹
课题组一直与国内外知名高校、研究所在本方向中保持紧密合作,同国际热核聚变实验堆(ITER)和比利时鲁文大学在开发SOLPS-ITER拓展网格方面开展合作,并联合指导研究生;与美国通用原子公司(GA)在设计新型偏滤器方面开展合作;与美国劳伦斯利弗莫尔国家实验室(LLNL)在开发BOUT++模块方面开展合作,并联合指导研究生;与俄国圣彼得堡彼得大帝理工大学在设计CFETR偏滤器方面开展合作,联合获批基金委中俄国际合作项目;与日本国立聚变科学研究所(NIFS)在使用多种程序在仿星器的耦合方面进行合作,并联合指导研究生;与德国马克思-普朗克等离子体物理研究所在开发JORKE程序进行合作,并联合指导研究生。课题组每年都会派出教师及学生参加该方向国际重要会议并做邀请和口头报告。
近年来,课题组在本方向取得了一系列显著成果,承担了多项国家级科研项目,取得的成果在核聚变领域主要期刊Nuclear Fusion等发表文章60余篇。
代表性成果:
先进偏滤器设计:在先进偏滤器设计方面开展了创新性研究成果,设计的SAS偏滤器被美国最大磁约束聚变装置DIII-D成功验证;作为主要人员,完成了我国EAST下钨偏滤器的物理设计工作;参与了中国聚变工程实验堆(CFETR)的偏滤器物理设计工作。开展了我国HL-2M准雪花偏滤器研究工作。
杂质输运研究:使用多种程序进行了钨杂质输运的模拟研究,系统阐述了钨杂质在多种模式、不同杂质注入及不同偏滤器状态下钨杂质的产生及输运过程,该工作对于实验中控制钨杂质的产生及输运,保证放电不受钨杂质的影响具有重要作用。
刮削层宽带研究:开展多种模式、多种器壁条件下刮削层物理的研究,解释了刮削层热流宽度与台基区及偏滤器等离子体的关系,该研究对于理解及控制刮削层及偏滤器热流宽度有重要意义。
弹丸注入研究:开展了锂弹丸加料在台基区行为的模拟,解释了实验发现的注入锂弹丸激发及控制边缘局域模的不确定现象,该研究对于进一步阐释弹丸激发ELMs的物理机制具有重要意义。
边界程序开发:开发了刮削层锂输运程序ITCD、动理学钨杂质输运程序、中性粒子输运程序等,这些程序均与国际主流程序进行验证,运行结果与国际主流程序结果相符,实现了大型边界程序的自主化开发。
大气压放电等离子体研究
一、射流放电
大气压冷等离子体射流(APPJs)能够将等离子体产生区域和工作区域在空间中分离开,在保持放电稳定性的同时,还能保持较强的等离子体化学活性。大气压等离子体射流应用广泛,尤其在材料加工、生物医学等领域引起了广泛的关注。在实际中,射流长度、产生活性粒子种类和密度直接决定射流应用效果,而它们受到射流装置结构、驱动电源、工作气体、传播环境等因素的影响。课题组利用自主开发的程序及COMSOL软件研究了大气压等离子体射流相关内容,包括:大气压冷等离子体射流的产生、传播及熄灭过程;冷等离子体射流在中心部分以及喷出部分的放电特性;驱动电压、空气成分以及气流等外界因素对冷等离子体射流动力学的影响。课题组还模拟研究了环-板电极装置的完整脉冲内等离子体射流的传播特性、不同条件下关键活性粒子的产生和输运及射流在波形基板附近的行为。除数值模拟外,课题组针对射流阵列、射流中的斑图、流光行为等开展了相应的APPJs实验研究。

图. 射流随时间的演化图像
二、混沌研究
大气压介质阻挡放电(DBD)在材料处理、生物医学等方面具有广泛的应用前景。通过在电极表面覆盖介质层可以有效抑制电流,并通过介质表面的积累电荷促进下一次放电,进而提高放电的稳定性。同时,DBD表现出了丰富的时间非线性行为,如不对称放电、倍周期分岔、准周期和混沌,因此DBD可以作为一个平台来系统研究非线性混沌等现象。在大多数情况下,混沌的产生会使放电失去重复性,但同时也表现出有趣的现象和潜在应用的可能性,如信息加密。课题组对DBD中出现的大量的时间非线性现象进行了数值模拟研究。如:通过调整电压波形,放电经历period-2、period-4和period-8经倍周期分岔进入混沌;在准周期放电过程中会伴随着庞加莱截面的褶皱和拉伸,同时环面和周期态的交替出现;此外,课题组还发现了I型阵发性混沌,在放电过程中,突发的强电流会打破了有规律的周期性电流振荡。这些研究补充了混沌动力学的基础理论,同时非线性放电的研究,在一定程度上为预测和控制等离子体放电的时域不稳定性提供了一些依据。

图. DBD中阵发性混沌的电流和表面电荷演化
三、斑图
介质阻挡放电具有良好的放电稳定性和均匀性,且不需要惰性气体参与,并且可以在一定程度上避免由温和的辉光放电向热弧光放电的转化,是大气压放电产生等离子体的主要实现形式之一。在一些条件下,介质阻挡放电中会出现随机的放电丝,或者出现具有一定空间规律性的自组织斑图结构。自组织斑图放电在材料局域生长、农业、生物等方面展示出了潜在的应用前景。DBD中的自组织斑图通常由放电丝形成具有空间周期性的几何图案。课题组对DBD中的斑图放电进行了数值模拟研究。通过改变放电参数,可以影响斑图结构,放电丝数目,放电丝形状。在单层介质覆盖的DBD中,放电空间中出现了一条或者多条放电丝,放电丝表现为在裸电极一侧向内收缩,在有介质一侧向周围扩展。增加电压、极板宽度或者杂质N2含量,放电丝数目增加。在模拟研究放电丝与流场相互作用时发现,外流场可以推动放电丝向下游移动,这与微观背景气体与等离子体碰撞发生动量转移有关。通过DBD斑图的研究,分析了放电丝之间的相互作用力,给出了改善放电均匀性的方法,同时,认识和探索了放电与流场的相互作用机理。

图. 放电丝在流场作用下移动,并碰撞、消失和重现
四、针板放电
在实验室和工程中常采用针电极结构来实现大气压放电。实验研究表明在针电极下的大气压脉冲放电存在多种放电模式(电晕、辉光、火花等),通过改变放电系统的参数可以实现放电模式的转换。课题组采用二维流体模型,自洽地求解连续性方程和漂移扩散近似、Poisson方程,以及求解Boltzmann方程获得相应反应系数,并利用GFM处理针电极位形。模拟结果比较了两种放电模式电晕和辉光放电的放电特性。当放电通道导通时,放电由电晕转化为辉光模式,伏安特性曲线中会出现电流的第二个峰值。通过调整放电参数(脉冲电压、针电极半径、二次电子发射系数等),可以实现两种放电模式的转化。此外,单针放电的处理区域有限,将多个电极平行排列成阵列的形式可以有效增加处理区域面积。每个针电极都会产生相应的流光放电通道,相距较近时,放电通道会相互排斥而弯曲,若放电空间(轴向)足够长又会进一步融合。同一组多针电极阵列中,每个针电极的放电模式可能会不同。模拟结果给出了粒子密度、电场、温度等参数的时空演化情况并分析其放电机制和放电特点,为进一步的实验研究及应用提供有力的科学依据。

图. 电子密度的时空分布
五、沿面介质阻挡放电SDBD
课题组数值模拟研究了纳秒脉冲驱动的沿面介质阻挡放电(SDBD),模拟气体为空气(80 %氮气和20%氧气)。放电会产生流光通道,沿介质表面传播。流光通道的长度受到电压、电极布局、介电常数等影响。通过数值模拟研究给出了SDBD放电中流光通道传播的速度、相邻流光通道之间的相互影响、放电产生体积力的时空分布等。将单组件SDBD扩展为多组件结构。研究了多电极结构下,电极的几何形状和电压极性对放电特性(如放电均匀性,流光通道长度,流光通道数目、体积力的时空分布)的影响,结果显示电极阵列通过构建的电场(即电势梯度)的分布决定放电行为。

图. SDBD放电,电子密度、电场的时间空间分布
五、等离子体流动控制
在实现等离子体众多应用的过程中,不可避免要涉及到流场与等离子体相互作用,例如:APPJ通过流速决定混合气体组分、利用流场改善放电均匀性、以及等离子体流动控制。课题组通过数值模拟研究等离子体与流场相互作用的机理问题,并计划自主开发气体放电和中性气体流动的耦合程序,通过“体积力”、“热源”、“速度场”、“压强”、“温度”进行耦合,建立一套完整的描述等离子体流动控制的计算模型。研究ns-SDBD激励器流动控制机理(包括诱导的冲击波和启动涡特性),并解决等离子体流动控制应用所面临的复杂环境影响的问题,为后续的等离子体流动控制相关应用的开展提供支持。

图. 上图脉冲放电过程中的电子密度,图为脉冲下降沿结束后的结果。纳秒脉冲放电过后的冲击波